Между речью и письмом

Этот номер «Разногласий» начинался с двух текстов: письма главного редактора и статьи Бориса Клюшникова — где шла речь о связи веры в Бога и сомнения в ней, о логических и пространственных структурах, в которых сплетаются внутреннее и внешнее, в которых может быть нечто и верным, и неверным. В завершение номера и в продолжение темы — текст психоаналитиков о модифицированной логике, позволяющей понять, что же открыл Фрейд под именем бессознательного.
— И правильно, — сказал Парменид, — но если желаешь поупражняться получше, то следует, кроме того, делать вот что: не только предполагая что-нибудь существующим, если оно существует, рассматривать выводы из этого предположения, но также предполагая то же самое несуществующим.
Платон. «Парменид»
Женщины, метаязыка, космоса, сексуальных отношений… не существует.
Жак Лакан
В «Будущем одной иллюзии» Фрейд пишет о двух специфически человеческих способах обойтись со страданием — о религии и науке. Он противопоставляет их, считая, что психоанализ относится скорее ко второму дискурсу, чем к первому. В одном из интервью Жак Лакан, напротив, остроумно связывает эти дискурсы, заявляя, что религия может помочь науке в том, чтобы придать смысл всем тем странным вещам, которые благодаря науке стали нас окружать. Таким образом, он видит функцию религии в том, чтобы сообщать смысл. Например, Лакан отмечает, что религия придает смысл такой не слишком понятной вещи, как жизнь. Этот текст Лакана вышел во Франции с названием «Триумф религии» — в силу того, что именно триумф он ей и пророчил, гораздо менее оптимистично высказываясь при этом о будущем психоанализа.
Кажется, что эту фразу уместнее читать как адресованную не человечеству вообще, но гораздо ýже — именно психоаналитикам, как своего рода ироничное замечание по поводу психоаналитического сообщества, которое может не заметить, что перестало быть психоаналитическим, но стало разновидностью сообщества религиозного, чем-то вроде тех сообществ, которые Фрейд изучал в «психологии масс», — церкви или войска. Таким образом, здесь читается возможность промаха, возможность того, что нечто не клеится.
Однако вопроса о том, как может «склеиться» психоаналитическое сообщество, по преимуществу занятое тем, что не клеится (промахи, проступки, оговорки, ошибочные действия, симптомы), мы здесь прямо касаться не будем. Начнем лучше с того, что — в том числе благодаря психоанализу — известно. А известно то, что хорошим клеем для общества людей является чувство вины, в контексте которого промах или ошибка предстает как грех. Человеческие ляпы, которые исследовал Фрейд, а Лакан назвал образованиями бессознательного, и есть то, что в религиозном дискурсе получает статус греха. Сюда как нельзя лучше вписывается идея о том, что согрешивший в уме согрешил воистину, т.к. вина, как это известно из исследований невроза, не обязательно возникает в условиях сознательного проступка, для нее достаточно лишь мысли.
Не стоит наивно думать, что психоанализ в противовес этому обществу вины «раскрепощает» желание на манер американской сексуальной революции, когда главную вину за отсутствие наслаждения возлагали на общество с его запретами. В тексте «Телевидение» Лакан резко отзывается о тех, кто придерживается подобного мнения, называя таких людей глупцами. Скорее всего, потому, что в этом и состоит парадокс наслаждения: высказано оно может быть лишь между строк (об этом, например, говорится в тексте Лакана «Ниспровержение субъекта и диалектика желания в бессознательном у Фрейда»). Если издать закон, который сказал бы людям: «Наслаждайтесь свободно!» — это не отменило бы его статуса закона как того, чему необходимо подчиняться, а значит, свободы от этой необходимости, свободы наслаждения на этом пути не получить.
Сложно смеяться, когда вам приказывают «Смейтесь!»
Мы видим здесь, что императив — или, иначе, функция авторитета — возникает как бы автоматически, стоит только начать говорить. И этот авторитет заставляет считаться с собой, ставя под сомнения первоначальные намерения, с которыми речь задумывалась. Простой пример из повседневной жизни: профессор, читая лекцию, говорит студентам приятную новость — они могут не тянуть руки, если хотят что-то спросить: «просто кричите с места». В следующий момент один из студентов по привычке тянет руку, на что профессор вдруг резко заявляет: «Я же вам уже сказал — не тяните руку. Кричите!» Таким образом, то, что сначала выступало как снятие дисциплинарных ограничений, накладываемых университетским дискурсом, в следующий момент возникает в качестве нового странного императива.
Перед нами промах, который является иллюстрацией того, что наслаждение может высказаться разве что между строк. Подобно тому, как это происходит в шутке; ведь все знают, что сложно смеяться, когда вам приказывают: «Смейтесь!» — так же как все знают, что наслаждение, выражающееся в виде смеха, опирается на то, что в любой остроте (как, в пределе, и в любом тексте) есть нечто недосказанное, которое символизируют обычно вопросом «дошло?». Финал описанного выше «раскрепощающего» педагогического предписания не подразумевался начальным сознательным намерением профессора, но в дело вмешалась речь, которая, вызвав к жизни функцию авторитета, подставила подножку благим намерениям, обитавшим в сознании этого преподавателя. Функция эта напрямую связана с актом высказывания и одновременно имеет не менее прямое отношение к тому, что Лакан обозначил заглавной буквой Ф.
Стоит сделать здесь небольшую ремарку, касающуюся размышлений человека, чье имя на эту букву Ф начинается: ремарку о размышлениях Фомы Аквинского о знаниях научных и знаниях религиозных. Эта ремарка, в частности, позволит понять высказывание Лакана о том, что верующими в наши дни являются все. Фома пишет о том, что религиозное знание основывается на божественном откровении, истина, о которой идет в нем речь, — истина откровения, но не истина, к которой разум приходит своими силами. Потому он говорит, что доказательства в теологии опираются на авторитет. И хотя в науке подобный ход доказательств с опорой на авторитет является наислабейшим, но в теологии это самый сильный вид доказательства, потому что авторитет этот исходит из области божественного.
«Маркс сказал», «Фрейд сказал», «Лакан сказал», «Мой психоаналитик сказал»…
Конечно, при всей сомнительности подобного хода мысли не стоит думать, что мы слишком далеко ушли от идей св. Фомы. Простой пример приводил в своих лекциях психоаналитик Жан-Мишель Вапперо. Речь идет об известном способе доказательства с опорой на масс-медийное откровение: «Послушай, я говорю правду. Я сам вчера читал это в газете (видел по телевизору, слышал по радио)…» Не говоря уже о таких повсеместно принятых маркерах истины, как цитаты: «Маркс сказал», «Фрейд сказал», «Лакан сказал», «Мой психоаналитик сказал»… Главное, что из этого можно извлечь, — так это то, что нечто истинно просто потому, что это сказано.
И еще раз подчеркнем, что не стоит думать о «прогрессе» по отношению к святому Фоме по причине самой структуры речи. Речи, в которой каждый раз, когда она имеет место, актуализируется функция авторитета. В этом смысле Речь — это Бог. Что и проясняет идею Лакана о том, что все говорящие существа верят. Что, конечно, вовсе не значит, что они так думают. Одна маленькая девочка сообщила однажды своим подругам, что теперь она уверена, что Деда Мороза не существует. Она взволновала общество своих подруг этим заявлением, но удалось у нее спросить: «Откуда ты это узнала?» Ответ был поучительным. Нет, она не прочитала об этом в газете, но получилось нечто того же порядка: «Мне сказала об этом моя мама». Осталось только спросить ее: «Почему ты не веришь в Деда Мороза, но так веришь маме?» — чтобы указать на то, что вопрос веры еще далеко не снят с повестки дня. Но многие исследователи указывают на форму атеизма, известную общественности под диагнозом «аутизм», который представляет собой этическую позицию, как раз состоящую в отказе от Речи.
Вернемся к лакановской матеме Ф. Этот концепт Ф и есть то, что претендует на звание предиката, на основе которого создается множество тех, кто под него подпадает, т.е. тех, кого лаканисты любят называть «говорящими существами».
Символизируют происходящее на этом уровне обычно простым кругом, который вводит дихотомию внутри/снаружи, подобно тому, как мыслят то или иное сообщество — на некоторых основаниях можно быть внутри него или находиться за его пределами. Те, кто внутри, подпадает под предикат Ф: это такие «х», для которых концепт Ф(x) выполняется, т.е. является истинным. Это в нашем случае те, кого мы обозначим, как и профессора, который позволил студентам кричать, «споткнувшимися о речь» (на рисунке они символизированы точками внутри круга Ф(x)):
Уже здесь можно и стоит указать на специфику идей Лакана по отношению, например, к Алену Бадью, выступающему в качестве философа современности. Это тем более уместно, что позиция, которую мы тут приписываем Бадью, свойственна далеко не только ему. В чем она состоит? В том, что Бадью утверждает, что современное общество задано не через некий предикат, который претендовал бы на звание универсального, но через то, что такого предиката сейчас, в отличие от традиционного общества, просто нет. Бадью прибегает для иллюстрации к способу задать множество тех, кого можно назвать «современные мужчины и женщины», который состоит не в указании общего свойства его элементов, но в простом перечислении. Например, можно создать множество просто через перечисление, пусть в него войдут: лягушка, помидор, современный художник, Библия... Бадью делает упор на отсутствие общего принципа вхождения в это множество (в современное общество или в область современного искусства), на отсутствие своего рода инициации, а потому он склонен характеризовать современность как общество людей неинициированных, «общество подростков». Итак, и Бадью, и многие другие на разные лады перепевают эту идею, которая заключается в отсутствии универсального предиката в наши дни… Тем интереснее читать Лакана.
Мысль его представляется чуть более тонкой. Для начала надо обратить внимание, что Лакан говорит вовсе не про отсутствие универсального предиката (для этого вполне сгодится наш Ф, символический фаллос), но про то, что он дает сбой, промах, что нечто, связанное с универсальным, не клеится. Подобно тому, как не клеится мир во всем мире, о чем можно прочитать интересные вещи, например, в переписке Фрейда с Альбертом Эйнштейном.
Этот промах хорошо знаком тем, кто занят теорией множеств. Если вы возьмете самую распространенную ее версию, аксиоматическую теорию Цермело—Френкеля, то обнаружите в ней массу интересного, но будет и то, что вы в ней не обнаружите. Следствием одной из аксиом этой теории является отсутствие универсального множества. Возможность его создания упирается в парадокс, который был обнаружен Бертраном Расселом и получил имя «парадокс брадобрея». Одним из выходов из этого тупика, который психоаналитики называют классическим, является не перечисление в стиле Бадью, но конструирование универсального множества одной теории в рамках другой теории. Таким образом, универсальное данной теории основывается не в ней самой, за ее пределами, предстает как исключение из общего правила. Простой пример. Допустим, вы строите теорию конечных множеств. Т.е. для всех индивидов данной теории верно, что они представляют собой конечные множества. Однако множество всех конечных множеств само конечным не является, оно не подпадает под универсальный предикат «быть конечным». А значит, оно возможно только в той теории, где утверждается существование множеств бесконечных. Как скажет Лакан в одной из своих работ: «Универсальное основывается на существовании, которое его отрицает».
Самое удивительное, что эту мысль можно обнаружить у Маркса (конечно, не в терминах теории множеств). Маркс отмечает, что труд — универсальная мера стоимостей. Количеством труда определяется стоимость товара. Но может ли сам труд оказаться в этом универсальном множестве товаров? Нет! Но отсюда рождается еще один вариант «выхода» из тупика, еще один вариант компенсации этого промаха, состоящий в том, чтобы особым образом решить вопрос о стоимости труда, сделать его своего рода исключением из правила. И решение это было названо «капитализм».
Говоря простым языком, еще раз отметим: вывод состоит в том, что универсальное возможно только при условии необходимого исключения, наличия того, кто под этот универсальный предикат подпадать не будет, при условии, что в обществе равных с необходимостью обнаружится тот, кто равнее других. Графически это будет значить, что эта точка будет находиться снаружи нашего круга Ф(x):
Универсальное сохраняется лишь благодаря наличию исключительного. Назвать этот исключительный элемент можно именем, которому возносят молитву «Отче наш», что Лакан и сделал, обозначив его термином «Имя Отца».
То, что универсальное сохраняется благодаря ему, можно выразить и так: функция того, что выше мы назвали «авторитет», поддерживается именем Отца. В отсутствие этого исключительного человека будет удерживать на плаву лишь то, что в психоанализе называют «воображаемая идентификация» — копирование, перенимание воображаемой формы. Отсюда и возникает неплохая встроенность в общество тех, кому ставят диагноз «психоз», но до той поры, пока они могут опираться на это измерение «as if», «как будто бы»: например, вести себя в отношениях по образу своих ближних, делать сообщества наподобие уже имеющихся и т.п. Но все это часто рушится, когда происходит столкновение с вопросами не воображаемого характера. Одним из таких вопросов par exellence является вопрос отцовства, надбиологический характер которого Фрейд и Лакан всячески подчеркивали. Надбиологический характер значит, что в вопросе продолжения рода в случае людей задействованы не только биологические циклы, но и означающее. Подобно тому как Фрейд, ссылаясь на этнологические данные, говорит о племени, где женщина, желая забеременеть, уходила бродить в лес, там встречала некий камень, возвращалась и говорила, что камень стал отцом ее ребенка и он будет носить это имя — «Камень». Такая банальная вещь, как камень, и выполняет здесь функцию исключительного. Конечно, не в неведении, что дети возникают как следствие полового акта, состоит суть дела, но в том, что, даже зная это, необходимо еще нечто, что относится к регистру символического.
Во имя защиты этого исключительного, но и банального (как это много раз подчеркивает Вапперо) многие готовы пойти далеко, вплоть до преследования тех, кто исключительность эту предположительно ставит под сомнение. «Крестовыми» походами под знаменами той или иной церкви, сообщества или, например, школы психоанализа нередко оборачивается подобный способ сохранить универсальное. Этот способ выстраивания общества, эту позицию говорящих существ Лакан назвал мужской.
И еще раз напоследок вспомним здесь идею Бадью, сравнив ее с тем, что говорил Фрейд за сто лет до него, в книге «Исследования истерии». Напомним, что идея его была в том, что множество можно задать простым перечислением без попытки увидеть за этим некий принцип, некий предикат. Но напомним также о том, что может если не вызвать критику этой идеи, то хотя бы призвать к большей аккуратности в подобных высказываниях, ибо подобная неаккуратность может иметь вполне рискованное следствие, которое будет состоять в забвении того, что Лакан назвал откровением Фрейда и что получило имя «бессознательное». В «Исследованиях истерии» тоже есть пример, когда одна пациентка Фрейда просто произносила вслух все, что ей приходило на ум, создавая таким образом множество сказанного. Выглядело это множество, на первый взгляд, совершенно разрозненно, ничто, казалось, не объединяло элементы, которые в него входят; выглядело оно, одним словом, вполне «современно». Эта женщина сначала сказала, что ей пришло на ум всего лишь одно слово: «привратник». Она совершенно не представляла, что бы это значило. Как не представлял этого и Фрейд, потому он попросил ее продолжить составлять это множество. Тогда появился второй странный элемент — «рубашка», за ним третий, четвертый и т.д. Фрейд повторил вопрос: «Ну и что это все значит?» Тогда неожиданно дама вспомнила то, что сделало эту цепочку вполне осмысленной: действительно, однажды случилась ситуация с ее сестрой, где были и рубашка, и привратник… Таким образом, отсутствие среди сказанного элемента, который бы поддержал функцию предиката, на котором основывается множество сказанного, вовсе не значит того, что этого предиката вообще не существует, т.к. он из множества сказанного может быть просто-напросто исключен, вытеснен. Отсюда и аккуратность, свойственная Фрейду, — не слишком сильно верить, что то, что кажется бессмысленной кучей, куда доступ ничем не задан (как иногда описывают современное общество), таковой и является. Ведь и ответ Лакана в «Телевидении» на вопрос о проблемах с наслаждением, которые связывают с дурным устройством общества, состоял в том, что общество это и существует лишь благодаря тому, что Фрейд, собственно, и назвал вытеснением.
Однако еще один вопрос, уместный здесь, звучит так: «Это всё?» Есть ли альтернатива дискурсу, триумф которого виделся Лакану? Или нет? Это всё или не всё?
Не всё
Здесь мы вступаем на территорию, где среди лакановских психоаналитиков разных школ нет ни согласия, ни ясности. В этом сложном месте, называемом лаканистами «pas tout», или «не всё», мы совершаем поворот, который при первом приближении можно охарактеризовать через смену модальностей: на месте необходимости появляется невозможное. То есть там, где раньше универсальное возникало лишь при необходимом наличии исключения, возникает невозможное. Невозможное здесь подразумевает отсутствие «исключительного», этот элемент не существует ни внутри, ни снаружи круга, который мы обозначили буквой Ф. Отсутствие этого элемента мы обозначили крестиком:
Как это понять? О чем тут идет речь?
— Речь здесь идет, к примеру, о расселовском каталоге всех каталогов, которые не содержат себя. Каталог таких каталогов не может находиться ни внутри, ни снаружи себя. Ибо если он будет внутри, то он должен быть снаружи (т.к. внутри него только те, кто не внутри себя), а если он снаружи, то он должен быть внутри, исходя из собственного определения. Отсюда делается вывод о несуществовании такого объекта, а основания дискурса современной теории множеств претерпевают модификации, чтобы подобного объекта избежать — в противном случае теория противоречива.
— Речь здесь, к примеру, о парадоксе, который можно вычитать у Маркса в книге «Капитал». Товарным фетишизмом зовет Маркс веру людей в то, что товар может быть ценным сам по себе (т.е. в себе иметь некую меновую стоимость). Золото не самоценно, оно будет не дороже песка, если его будет добывать так же легко, как и песок. Товар ценен не сам по себе, но благодаря труду (содержащемуся в нем). Но стоит самому труду оказаться на месте товара, и мы приходим к странному выражению: труд ценен не сам по себе, но благодаря труду.
Отсюда сложности и ухищрения, которые так ловко разоблачает Маркс и которые служат политической экономии средством обойтись с этим «скользким» и противоречивым объектом «труд».
— Речь здесь, к примеру, о фрейдовском бессознательном. Лакан несколько раз подчеркивал, что бессознательное, которое открыл Фрейд, отличается от того, что можно помыслить как простое отрицание сознания. Другими словами, его нельзя нарисовать снаружи круга сознания:
Как нельзя его нарисовать и внутри, ибо к сознанию бессознательное не сводится: оно не подпадает под предикат «быть сознательным», так как представляет собой, по словам Лакана, знание, которое себя не знает.
Эта идея Лакана (и Фрейда) о бессознательном противоречит дискурсу школы психолога Вильгельма Вундта, который возник благодаря философу Джону Локку. Этот дискурс Вапперо называет дискурсом западного сознания. Западное сознание тщательно обходит фрейдовское бессознательное. Обходит в силу того, что с точки зрения классической логики сознания бессознательное предстает как нечто невозможное, нечто, чье существование сделало бы дискурс противоречивым. Почему? Потому что для Локка мысль по определению сознательна: нельзя мыслить, не зная этого. Для Локка мысль несознательная не есть мысль. В данной логике исчезает тот зазор, на котором строится, к примеру, шутка про актера, забывшего, с чего начинается монолог Гамлета. Пытаясь вспомнить его начало, он с сомнением произносит: «Быть» или не «Быть»?
Суть этого зазора в том, что неверно было бы утверждать, что актер не забыл фразу, но и неверно сказать, что он ее не произнес. Понятно, что подобные явления на каждом шагу встречаются в психоаналитическом кабинете… Напротив, в логике Локка если я что-то говорю, то я знаю, что я говорю. Забытое при этом есть то, чего я не знаю (т.к. забыл), а значит, его нельзя произнести (сказать).
Вопрос Другого пола пытаются исключить, к примеру, в форме сжигания ведьм. Западное сознание тщательно обходит фрейдовское бессознательное.
— Ну и the last but not the least: речь здесь о новости, которую привнес психоанализ по отношению к дискурсу философии и религии, поставив в ряд вещей, которые нельзя помыслить, не только собственную смерть (как делала философия), не только Бога (как делала религия), но и Другой пол. Отсюда и дискурсы, так или иначе вопрос Другого пола пытавшиеся исключить, чтобы не сталкиваться с собственной противоречивостью, к примеру, в форме сжигания ведьм. Именно со стороны женщин Лакан помещает невозможность — или, наоборот, чтобы помыслить другой пол, он говорит о невозможности.
Что хочется особо подчеркнуть, так это то, что инаковость Другого пола, о которой идет здесь речь, не мыслится так, как мыслится «исключительность» со стороны мужчин. В случае исключительности мы сталкиваемся с отрицанием универсального предиката: когда все есть А, то с необходимостью существует хотя бы один, который не А. Этот один — иной по отношению ко всем, но то «иное», о котором речь идет в данном случае, устроено иначе, ибо здесь «иное» возникает не в форме отрицания предиката, а в форме невозможности. В первом случае речь шла о том, что нет худа без добра, что нет одного без другого. В данном случае речь идет о том, что перед нами ни одно, ни другое, ни внутри, ни снаружи. Скажем так: иное по отношению к необходимому Лакан предложил мыслить, отталкиваясь от невозможного [1].
Нечто не обнаруживается ни внутри, ни снаружи границы, очерченной предикатом. Если бы это нечто существовало, то дискурс, в рамках которого оно было бы записано, предстал бы как противоречивый, потому что наличие этого нечто нарушает закон исключенного третьего, который в нашей «графической» форме можно озвучить так: для любого «х» верно, что он находится либо внутри, либо снаружи круга, которым мы символизировали предикат Ф.
Итак, с виду перед нами — полный провал. Ранее мы спасали универсальное множество, моделируя его в другой теории, т.е. опираясь на исключительное, которое, подобно суверену, могущему приостановить действие закона, отличается от всех тех, кто подчиняется закону. Теперь такой возможности нет, а значит, следуя нашей логике и опираясь на наши нынешние данные, просто-напросто не должно быть никакого сообщества, если, конечно, мы не сможем нашу логику несколько модифицировать.
Немного религии в логике
Фома Аквинский пытался показать, что теология — наука, в которой можно выстраивать доказательства. Доказывать нечто можно, отталкиваясь от данных откровения, отталкиваясь от утверждений тех, кому это откровение было явлено. Когда нечто утверждается в дискурсе откровения, то это нечто рассматривается как истина: истинно, ибо сказано... Здесь, таким образом, нет существенных различий между утверждением чего-то и его истинностью.
Теперь чуть внимательнее зададимся вопросом: когда мы рисуем наши круги, то что, собственно, мы делаем? Понятно, что мы вводим несколько различий, которые мы здесь для наглядности еще раз перечислим.
Круг делит плоскость на две части: внутри/снаружи. Это пространственное разграничение мы стали использовать, чтобы говорить о сообществе и его границах.
Круг символизирует некое высказывание. При этом возникает дихотомия: утверждение/отрицание. Если круг мы называем А, то внутри А утверждается, а снаружи отрицается, что мы пишем как «не А». Например пусть А будет высказыванием из серии «Идет дождь». Тогда внутри круга утверждается, что он идет, а снаружи — что его нет.
Когда А предстает как класс, то внутри располагаются те, для кого А является истинным, а снаружи — те, для кого А ложно. Тем самым мы разделили наши точки — ну или наши объекты — на тех, кто в классе, и тех, кто вне его. Например, если А говорит, что кто-то — современный художник, то внутри будут те «х», которые ими являются, а снаружи — те, которые современными художниками не являются.
Кажется, что пока перед нами нет никаких сложностей… Просто круги. Немного задуматься заставляет лишь наложение картинок. Кажется, они говорят нам, что отношения между утверждением и отрицанием совершенно такие же, как отношения между истиной и ложью. Истина возникает именно там, где мы до этого рисовали утверждение, т.е. внутри. Возможно, нам просто вскружил голову святой Фома и мы перепутали два разных типа диаграмм — диаграмму, которая отображает высказывание, и диаграмму, которая отображает класс с его объемом? Однако, кажется, возможно этим головокружением воспользоваться. Тогда пока мы будем особым образом следовать Фоме: допустим, что в нашем дискурсе на место Истины придет Утверждение.
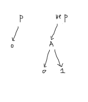
Раньше в логике была пара Ложь/Истина, теперь посмотрим, что будет, если перед нами Ложь/Утверждение. Перед нами просто своего рода замена одной буквы на другую. Истину, к примеру, в логике обозначают символом 1, а теперь попробуем на месте этой единицы написать наше утверждение, т.е. просто букву А. Конечно, стоит оговориться и заметить, что 1 (истина) всегда 1, т.е. это константа. Что касается утверждения (А), то оно может быть как истинным (=1), так и ложным (=0), ведь оно только заняло место истины, будет функционировать в нашем дискурсе на месте истины, но одновременно А не слилось с ней, оно остается утверждением вроде «идет дождь», которое может принимать разные значения (быть как истинным в обычном смысле, так и ложным)… Этот необходимый нюанс стоит сохранить, иначе игра не стоит свеч. Поэтому еще раз отметим его. В классической логике то или иное высказывание (обозначим его буквой Р) может иметь два значения: «ложь» (0) или «истина» (1):
Теперь любое модифицированное высказывание имеет значения «ложь» (0) или «утверждение» (А):
Но и само утверждение (А) может быть как ложным (0), так и истинным (1): ведь, как мы и сказали, оно в нашем дискурсе просто функционирует на месте истины, оставаясь при этом обычным утверждением:
Перед нами своего рода двухэтажная конструкция, подобно тому, как есть два этажа в графе желания Лакана.
Еще раз резюмируем: в нашу логику мы ввели утверждение на место истины. Теперь, на первый взгляд, логика стала чуть более религиозной; с другой стороны, можно сказать, что теперь логика может учитывать измерение Речи и ее отношение к истине, о котором мы говорили раньше в связи с функцией авторитета.
Одно важное следствие
Одной из самых примечательных черт этой логики будет функционирование отрицания. Это увидеть не так трудно. Для начала просто вспомним, как можно определить отрицание в классическом дискурсе:
Отрицание можно представить как смену значений. Когда значение Р = 0, значение не Р = 1. И наоборот. Всегда выходит, что не Р имеет значение, противоположное Р, поэтому между Р и не Р нет эквивалентности:
По аналогии введем отрицание в нашей новой логике [2]. Т.е. просто через смену значений на противоположные: если значение Р = 0, то значение не Р будет А, и наоборот:
Теперь для наглядности возьмем тот случай, когда значение Р = 0, а значение не Р = А.
Нетрудно заметить, что теперь утверждение и отрицание Р не так противоположны, как в классическом случае. Р = 0, а не Р = А, но ведь потенциально значение А = 0. В этом случае и утверждение, и отрицание Р будут эквивалентны, что немыслимо для классической логики подобно тому, как когда-то для людей была немыслима односторонняя поверхность (а потом изобрели ленту Мёбиуса). Итак, в случае, когда в нашем дискурсе на месте истины возникает утверждение, мы приходим к тому, что не всегда ложной является фраза «Р эквивалентно не Р»:
Отсюда уже понятно, что модификация дискурса, которую мы тут осуществили, позволяет заново взглянуть на то, что выше мы представили как невозможное. Например, фрейдовское бессознательное Вапперо в одном из своих текстов определяет ни как сознание, ни как его отрицание, но как эквивалентность одного и другого:
бессознательное = сознание <=> не сознание
Не невозможное
По ходу дела отметим, что само возникновение буквы А в нашем дискурсе представляет собой иллюстрацию того, что Лакан относил к категории уже не невозможного, но случайного. Случайным он называл то, что перестает не писаться, при этом он противопоставлял случайное невозможному. Не невозможное для Лакана не возможно, но случайно. Вапперо примером случайного называл обнаружение доказательства теоремы, которое случается, но никто не знает когда. Или остроту, чьим следствием является наслаждение, которое хотя и обитало между строк, но было так или иначе высказано. Категория случайного пронизывает и психоаналитическое лечение, и строго не рекомендуется вводить в него разного рода специальные ограничения по времени и т.п. Этим, например, психоанализ можно отличить от медицины, где лечение скорее происходит в модальности возможного: мы предполагаем, что если мы сделаем с вами следующую процедуру, то, возможно, вам это поможет (а может, и нет).
Случайное (или, иначе, когда нечто перестает не писаться) представляет собой возникновение буквы, имеющей своего рода «разрешающий» эффект или позволяющей скорректировать объект, с которым мы имеем дело. В любом случае речь идет о чем-то, чему удается «противостоять» невозможному, т.е. тому, что не перестает не писаться. Мы заговорили о случайном не случайно, но чтобы напомнить, что это вторая модальность наряду с невозможным, которую Лакан располагает со стороны Другого пола.
Чем же отличается утверждение (А) на месте истины от самой истины (1)?
В данной статье мы часто используем дихотомию внутри/снаружи. Попробуем применить эту дихотомию к нашим терминам: что, например, находится снаружи Истины? Можно предположить два ответа на этот вопрос:
— Снаружи истины находится ложь.
— Снаружи истины ничего нет.
Тогда нарисуем истину в виде окружности, снаружи которой наложим штриховку, символизирующую ложь:
Теперь спросим себя: что находится снаружи утверждения А? На сей раз ответ будет следующим: снаружи А находится не А.
На самом деле перед нами — ключевой момент происходящего. В классической логике мы говорили о дихотомии внутри/снаружи, которую применяли к некоему высказыванию: внутри оно утверждается, а снаружи отрицается. Теперь же мы можем попробовать применить эту дихотомию не только к самому высказыванию, но и к его значению.
Как если бы в некотором смысле у любого высказывания появилось дополнительное измерение вроде второго «снаружи». Ну или вроде того, как Лакан описывал второй уровень нехватки, когда в библиотеке отсутствует книга, в которой не хватает страницы.
Если в случае пары 0 и 1 универсум дискурса исчерпывался единицей, тем, что внутри единицы, то в данном случае, когда А заняло место единицы, т.е. стало на место этого универсума, то тем самым это А не стало всем универсумом, т.к. есть нечто вне его (не А). Другими словами, если А заняло место истины, то получается, что А — это еще не вся истина. Близкая аналогия, которая позволила нам в несколько ином контексте говорить о понятии «прибавочная истина», состоит в том, что тут, образно выражаясь, как и при капитализме, вам оплачивают не все, что вы сделали.
В своих текстах Вапперо называет не А лакановским словечком hors-univers (вне-вселенной). Сам Лакан в своем семинаре 16 подчеркивает, что его выражение «вселенной дискурса не существует» означает, что невозможно, чтобы она стала всем.
Мы очутились в дискурсе, где на месте истины функционирует утверждение, но оказалось, что у него есть свое зазеркалье. Ибо классическое отрицание этого утверждения не обязательно является ложью, но возникает в качестве утверждения, вывернутого наизнанку: c точки зрения значений, А от не А отличается так же, как обычное утверждение отличается от обычного отрицания, т.е. значения А в случае не А просто инвертируются:
Что же несет с собой это «урезание» истины, этот ее недосказанный характер? Когда мы говорили о невозможности, то говорили про объект, о котором неверно сказать, что он подпадает под некий предикат, но и неверно сказать, что это не так. Несколько неформально [3] заметим, что в классическом случае можно сказать, что либо этот объект располагается за пределами истины (вне истины, т.е. в 0), либо выражение, которое его описывает, предстает как противоречие. Если крестиками обозначить места, где этого объекта нет, а точкой — то, где он мог бы быть, то выглядело бы это примерно так:
Понятно, что и речи быть не может о том, чтобы там его расположить, потому как истиной, или 1, классическая вселенная и ограничивается, вне ее нет ничего. Поэтому на месте точки ставим крестик, отметив при этом, что раньше наше описание невозможного ограничивалось двумя крестиками, а теперь появился третий. До этого было внутри Ф, снаружи Ф, а теперь еще и снаружи 1. Тем самым мы делаем небольшой шаг вперед.
О структуре подобного шага можно прочитать, например, в семинаре Лакана 1968 года, где он сравнивает множество означающих с расселовским противоречивым каталогом. В наших терминах это звучало бы так: допустим, что в этот каталог попадают те каталоги, которые не содержат себя и содержатся в 1. Теперь посмотрим на каталог всех таких каталогов: если он не содержит себя, то должен себя содержать. Если он себя содержит, то должен себя не содержать. Но тогда, чтобы отменить противоречие, можно отменить для него другое условие — то есть он должен оказаться вне 1. Это сняло бы вопрос, потому как тогда его не надо было бы перечислять среди потенциальных кандидатов на принадлежность к нему — ведь, чтобы таким кандидатом стать, нужно выполнить два условия: быть в 1 и не содержать себя. Однако еще раз подчеркнем, что в классической вселенной вне 1 ничего нет, но уже понятно, что если на место 1 поставить А, т.е. перейти в дискурс, где утверждение занимает место истины, то ситуация будет выглядеть иначе:
Теперь по ту сторону Истины (А) есть не А. Именно здесь, т.е. вне вселенной дискурса (А), может расположиться объект, который внутри этой вселенной невозможен. К примеру, теперь каталог Рассела будем строить из тех, кто
1) не содержит себя;
2) находится в А.
Тогда сам этот каталог можно расположить снаружи А непротиворечивым способом.
Мы можем сравнить то, что у нас получилось, с тем, что мы писали про функцию «исключительного»:
В первом случае нам необходимо было наличие исключительного, того, кто под Ф не подпадает, находится снаружи универсального класса. Во втором случае нам пришлось в некотором смысле дублировать само это «снаружи», чтобы нечто, что невозможно в нашей вселенной, означало, что не для всех верно обратное, т.к. эта вселенная не является всем, есть нечто вне ее.
Отсюда дискурс, в котором возможны ситуации, подобные тому, как когда переводят часы: можно и проспать (проснуться позже, чем завел будильник), и одновременно встать вовремя (ведь часы перевели).
Отсюда структуры, подобные тем, которые описывал Роман Якобсон, когда отмечал, что для выхода в метаязык никакого особого метаязыка не нужно, вполне можно говорить о языке, оставаясь в рамках того же самого языка. Поэтому если метаязыка нет, то это не значит, что все сводится к языку.
Когда переводят часы, то можно и проспать (проснуться позже, чем завел будильник), и одновременно встать вовремя (ведь часы перевели).
Отсюда тот выход, который нашел Фрейд из ситуации переноса (любви пациента и психоаналитика). Он назвал любовь в переносе пожаром на сцене театра. Если на эту любовь ответить, то не будет психоанализа, а если отказать, то пациент уйдет. Аналитик в этом случае не может больше наблюдать из зрительного зала драму жизни, которую ему повествует пациент, потому что горят уже не декорации, а его собственное кресло. Что и заставляет мыслить аналитический дискурс, отталкиваясь от невозможного.
Отсюда можно подумать о том, что если среди тех, кого выше мы назвали «споткнувшиеся о речь», нет исключительного (того, кто не споткнулся), то это еще не значит, что им не удается ничего высказать. Что, по всей видимости, привело Лакана к его размышлениям об особом способе функционирования авторитета в потенциальном психоаналитическом сообществе (это, безусловно, не дает повода для превращения этого общества в общество мнений, которое, например, критикует Бадью в своей «Этике»).
Заключение
В заключение мы должны немного пояснить, чем происходящее в нашей модифицированной логике отличается от религиозного дискурса, и по возможности суметь указать на очень интересный изъян нашей буквы А.
Когда мы давали заглавие «Немного религии в логике» одной из частей нашей статьи, то хотели подчеркнуть тем самым, что в логике (или в науке) возникает нечто, чего в ней не было. Однако возникновение этого нечто, а именно того, что мы назвали А (утверждением на месте истины), дискурс логики не превращает в дискурс религиозный. Дело в том, что все наши размышления и выводы строились, как мы много раз подчеркнули, не исходя из того, что утверждение — это истина, что утверждение полностью заменяет истину, но исходя из того, что утверждение занимает место истины, с ней не сливаясь (не превращаясь в 1). Формально это значит, что наряду с А и не А в нашем дискурсе сохраняется и 0, и 1. При этом все те выводы, которые классической логике свойственны, сомнению не подлежат, но дополняются тем, чего среди них было не обнаружить.
Тот зазор, то различие, которое возникает между Речью и письмом.
Другими словами, перед нами не пример возникновения нового идеала, когда на месте старых истин провозглашаются новые, а эти старые истины отбрасываются во тьму внешнюю. Хотя именно это и случилось с самой классической логикой, которая отбросила идею истины, опирающейся на Речь, сохранив при этом лишь письмо [4]. Отсюда и введение в логику Утверждения на место Истины, чтобы измерение Речи вновь появилось, однако самым важным является не триумф этого измерения Речи, но тот зазор, то различие, что возникает между Речью и письмом, между Истиной из логики и Утверждением на месте Истины. Не будь этого различия, мы не смогли бы ни на шаг приблизиться к пониманию загадочного лакановского pas tout, «не всё». Другими словами, наш дискурс строился именно исходя из этого зазора, и именно наличие этого зазора, координация между собой того, что находится по ту и по эту его сторону, было главным принципом рассуждения — потому, например, что когда мы приписывали некоему высказыванию значение утверждения (А), то всегда имели в виду, что и само А может быть интерпретировано через 0 или 1. Именно на поддержании этого зазора, а не на отсутствии конкретного предиката мы могли бы основывать наш способ мыслить те или иные новые формы сообществ, в которых, как, например, в психоанализе, личное и публичное сосуществуют не так просто, как может показаться на первый взгляд, т.е. не являются тем, что легко представить, расположив одно внутри, а другое снаружи…
Тем самым мы хотя и следовали святому Фоме, но не во всем. Фома хотя и обсуждает разницу двух истин — религиозной и научной, но в его рассуждениях истина откровения сама не поддается интерпретации, точнее, она уже предстает как проинтерпретированная: для него не просто утверждение функционирует на месте истины — для него нет сомнений в том, что утверждение истинно. Отсюда и отличия этих дискурсов: религиозного и того, введение в который мы здесь старались представить.
Что-то умное, что приснилось, наутро кажется совершенно несуразным.
Но отсюда и вопрос: что случится, если А действительно получит интерпретацию? Что случится, если, например, значением А будет 1 (как это порой и случается с любым из высказываний)? Что будет, если мы узнаем значение некоего высказывания, исходя из которого, нам необходимо будет сделать вывод, что А истинно (=1)?
Нетрудно увидеть, что в этом случае наша логика снова превратится в формальную. Простой пример: стоит в наших модифицированных утверждении и отрицании заменить А на 1, и их будет ничем не отличить от обычных утверждения и отрицания.
Таким образом, интерпретация приведет к исчезновению А, к возвращению на это место 1. А значит, исчезнут и все те особенности данной логики, ее теоремы, исчезнет то, что можно было сказать на ее языке. Исчезнет подобно тому, как забывается что-то умное, что приснилось и наутро кажется чем-то совершенно несуразным. Исчезнет подобно тому, как Лакан описывал исчезновение того, что относится к акту высказывания, за его (высказывания) смыслом. Логический узел развяжется, и больше не будет способности сказать то, что удавалось в условиях его наличия. К примеру, эквивалентность утверждения и отрицания, которая до того имела право на существование, превратится в ложное суждение. Тогда модифицированная логика предстанет разве что как навязчивая ложь, как симптом, как противоречия, просачивающиеся в гармоничный гомеостаз жизни наподобие чумы, овладевшей Фивами во время правления Эдипа. Отсюда высказывание Вапперо о том, что в области этой логики не стоит слишком многое доказывать, иначе могут исчезнуть сами средства доказательства. Отсюда черта, которой мы перечеркиваем наше А, чтобы сделать очевидным его изъян:
А также для того, чтобы напомнить читателю о лакановской матеме, которая так и называется «перечеркнутое А», где А для Лакана символизировало Другого (в частности, как место речи и истины).
И наконец, отсюда идея о пульсирующей структуре и закрытии бессознательного, которая в том числе предстает как шутка психоанализа над самим собой, ибо психоанализ — единственный дискурс, свидетельствующий миру как об открытии чего-то нового, так и о его закрытии.
Приложение
«Кадры из режиссерской версии статьи»
[1] При этом, чтобы еще раз подчеркнуть характер этой инаковости, мы должны сделать ремарку и настоять на том, что данное прочтение идей Лакана не редуцирует, как это многие сделали, происходящее к логике, которую в математике приписывают такому направлению, как интуиционизм. Интуиционист, отказываясь от оперирования актуальной бесконечностью, будет писать вещи, внешне сильно похожие на то, что записал однажды Лакан под именем «pas tout». Однако в случае интуиционизма речь идет о том, что хотя сейчас исключительного и нет, но потенциально мы можем на него «наткнуться». Пример: представьте бесконечное множество людей. Теперь попробуем выяснить, умны они или нет. Мы знакомимся с каждым по очереди, один за одним, и оказывается, что на данном этапе все, с кем мы знакомы, умны. Что мы сейчас можем сказать про наше знание? Не все люди умны (так как мы еще не со всеми знакомы), но то, что умны не все, еще не значит, что мы встретили глупца (так как все, кого мы встретили, были умными). Поэтому на данный момент мы можем вывести с виду похожую на лакановские идеи формулу: глупого не существует, хотя умны не все. Так вот, это отсутствие не-А (глупого) в данном случае рассматривается в ином контексте, чем невозможное. Ведь глупый человек может в конечном счете и найтись, это не обязательно невозможно, актуально его нет, но потенциально он есть. Конечно, в данном месте требуется чуть более обширное исследование, поэтому эту проблему отличия и схожести лакановских формул с логикой интуиционистов мы здесь скорее лишь отмечаем.
[2] Строго говоря, для этого отрицания необходимо было бы ввести другой знак, но здесь в целях экономии средств мы продолжаем писать аналогично классическому случаю, т.е. просто как отрицательную частицу «не». Мы делаем это упоминание лишь для того, чтобы избежать путаницы, т.к. в следующей части статьи мы будем отрицать А, но простым, т.е. классическим, способом, синонимом которого стала позиция «снаружи» круга, символизирующего высказывание.
[3] В приложении «Кадры из режиссерской версии статьи» мы делаем чуть более формальный комментарий к выражению «располагается за пределами истины».
[4] Речь здесь идет о формальных системах письма, в которых истинные высказывания получаются путем применения правил вывода к аксиомам.
Скачать весь номер журнала «Разногласия» (№6) «Бог умер. Да здравствует Бог!»: Pdf, Mobi, Epub