Нобелевские пульсары в небе «Аресибо»
Среди множества ярких результатов, полученных на телескопе «Аресибо», есть по крайней мере два открытия нобелевского уровня. Оба связаны с пульсарами. Инструмент благодаря своей высокой чувствительности оказался особенно ценным в изучении этих удивительных объектов — вращающихся нейтронных звезд, излучающих направленные радиолучи, чиркающие по нам на каждом обороте пульсара, подобно лучу маяка.
Двойной пульсар и гравитационные волны
Историю открытия первого двойного пульсара [1] прекрасно рассказал Клиффорд Уилл, ученик Кипа Торна, в своей книге «Был ли Эйнштейн прав? Проверяя общую теорию относительности» (Will Clifford M. Was Einstein right?: putting general relativity to the test. New York, 1986; cоответствующая глава этой книги в переводе Константина Постнова опубликована в журнале «Успехи физических наук» [2]).
Профессор Принстонского университета Джозеф Тейлор устроил своего студента Рассела Халса поработать на радиотелескопе «Аресибо» на время летних каникул 1974 года. Работа была достаточно рутинной, но 2 июля Халс обнаружил в свежих данных слабый периодический сигнал — он лишь на 4% превышал порог регистрации. Причем период пульсаций был вторым по малости после пульсара в Крабовидной туманности — 0,059 секунды (до открытия миллисекундных пульсаров, тоже на телескопе «Аресибо», было еще далеко). Пульсар получил стандартизованное имя («телефонный номер», как говорят астрофизики) PSR1913+16 (по координатам на небе).
Халс возобновил наблюдения объекта 25 августа, чтобы уточнить период. При этом всего за два часа период вырос на 30 микросекунд. Это немыслимая величина для пульсара! Потом Халс обнаружил, что темп изменения периода и даже его знак меняются со временем. По свидетельству Леонида Гурвица (ему об этом рассказывали участники событий), Рассел приставал к сотрудникам обсерватории с просьбой найти свежим взглядом ошибку в его алгоритме обработки, приводящую к дрейфу периода.


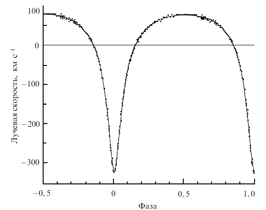
Скоро вырисовалась картина, изображенная на рис. 1. Период менялся периодически! Интерпретация была очевидной и единственной: период плавает из-за эффекта Доплера при орбитальном движении пульсара вокруг общего центра тяжести с другим тяжелым объектом. Орбитальный период — 7 часов 45 минут, максимальная скорость приближения к нам — 300 км/с, максимальная скорость удаления — 75 км/с. Кривая лучевой скорости радикально отличается от синусоиды потому, что орбита пульсара (и, соответственно, его невидимого компаньона) сильно вытянута. Сразу удалось оценить эксцентриситет (0,6) и длину орбиты (6 млн км — это близко к длине экватора Солнца). Про второй объект можно было сказать лишь то, что это не обычная звезда — либо белый карлик, либо вторая нейтронная звезда; в любом случае — достаточно компактный объект, иначе проявились бы эффекты, связанные с перетягиванием вещества со звезды на пульсар и искажением радиоимпульсов из-за влияния плазмы.
Параметры орбиты и массы обоих объектов удалось измерить не сразу. Дело в том, что неизвестен наклон плоскости орбиты к лучу зрения. Однако на помощь пришли более тонкие эффекты.
Народ сразу же оценил открытие двойного пульсара с той точки зрения, что найден прекрасный инструмент для проверки общей теории относительности, причем Джозеф Тейлор был главным энтузиастом этой идеи. Вклад релятивистских эффектов, пропорциональный квадрату орбитальной скорости и гравитационному потенциалу, оказался на полтора-два порядка выше, чем для Меркурия.
Но дело не только в этом: быстрое стабильное вращение пульсара и короткий орбитальный период позволяют измерить эти эффекты с потрясающей точностью. Из дрейфа периастра системы измерили неизвестную до того массу системы: 2,82843 массы Солнца (Мʘ) (все цифры — значащие). Чтобы установить соотношение масс двух объектов, измерили вклад гравитационного замедления времени в период вращения пульсара. В момент их максимального сближения этот эффект составляет 10–6, что в тысячу раз меньше доплеровского смещения, но всё равно измеримо с хорошей точностью. Первые результаты: массы двух объектов близки друг к другу; пульсара — 1,42 Мʘ, невидимого компаньона — 1,4 Мʘ. Впоследствии эти цифры были уточнены до 1,4411 Мʘ и 1,3874 Мʘ соответственно. Масса компаньона оказалась очень близкой к чандрасекаровскому пределу, при котором белый карлик теряет устойчивость и коллапсирует в нейтронную звезду. Теоретически он может быть белым карликом (точное значение чандрасекаровского предела зависит от химсостава), но гораздо вероятнее, что это тоже нейтронная звезда. В пользу двух нейтронных звезд говорит моделирование эволюции парной системы. Наиболее вероятен следующий сценарий. Первым после взрыва одной из звезд системы образовался наблюдаемый пульсар. Затем он был раскручен падающим на него веществом от компаньона — этим объясняется его короткий период. Потом взорвался компаньон с образованием второй нейтронной звезды.
А теперь самое главное. До сих пор общая теория относительности фигурировала как инструмент для измерения параметров системы. Пора сказать о значении пульсара для проверки ОТО. В теории есть нетривиальный эффект: излучение гравитационных волн при орбитальном движении массивного тела. На излучение уходит энергия, орбита сжимается, период уменьшается. Эффект ничтожен даже для такой тяжелой и тесной системы двух тел: в теории период уменьшается на 76 микросекунд за год. Но благодаря точности вращения пульсара он оказался измеримым. Первые значимые результаты по уменьшению периода были доложены Тейлором и Халсом в 1978 году. Тогда замедление стало статистически значимым и совпало с предсказаниями ОТО с точностью 20%. Более поздняя картина представлена на рис. 2. Точность, что называется, налицо.

За 30 лет наблюдений орбитальная фаза пульсара уплыла на 40 секунд. Таким образом, существование гравитационных волн было продемонстрировано почти за 40 лет до их регистрации детектором LIGO. Через 300 млн лет две нейтронных звезды сольются, потеряв свой орбитальный момент на излучение гравитационных волн. Произойдет знатный фейерверк — десятки секунд сильных гравитационных волн, короткий, но мощный гамма-всплеск, свечение килоновой, в сотни миллионов раз ярче Солнца.
Тейлор и Халс получили Нобелевскую премию в 1993 году. С тех пор были открыты еще десятки двойных пульсаров. Самый крутой из них с точки зрения эффектов ОТО — PSR1534+12 — открыл герой нашего следующего очерка Александр Вольщан, радиоастроном из университета Пенсильвании, начавший свою научную карьеру в Польше.
Планеты ужасов у пульсаров
В 1990 году Александр Вольщан с Дейлом Фрейлом, работая на телескопе «Аресибо», открыли миллисекундный пульсар PSR1257+12. Его период (6,2 миллисекунды) не был рекордно коротким, но уже через год Вольщан обнаружил [3] особенность, сделавшую объект уникальным: его фаза относительно фазы строго постоянного периода плавала за месяцы туда-сюда на пару миллисекунд. Причем кривая дрейфа фазы была довольно сложной (рис. 3): она раскладывалась на сумму двух кеплеровских орбит в паре с двумя планетами с массами в несколько раз больше массы Земли. Позже, анализируя кривую дрейфа фазы, «вытащили» третью, легкую планету: ее масса сравнима с массой Луны. Периоды обращения планет — 98, 66 и 25 дней, радиусы орбит — 0,46, 0,36 и 0,19 астрономических единиц, орбиты близки к круговым, две тяжелые планеты находятся в резонансе 3:2. Позже кривая дрейфа фазы была промерена настолько точно, что удалось определить гравитационное влияние планет друг на друга и определить точные массы: 3,9, 4,3 и 0,02 массы Земли.


В настоящий момент наиболее правдоподобный сценарий образования этой «ужасной» планетной системы выглядит следующим образом. Пульсар образовался в результате слияния двух белых карликов. Моделирование показывает, что в результате такого слияния, кроме нейтронной звезды, должно образоваться массивное кольцо из выброшенного вещества. Потом из этого кольца и образовалась планетная система. Позже нашли и другие планетные системы у пульсаров, но там планеты были гораздо более массивными или более далекими.
Александр Вольщан не получил Нобелевской премии, хотя оказался в сантиметре от нее. Это были первые твердо установленные планеты вне Солнечной системы — экзопланеты; правда, «неправильные» планеты у «неправильной» звезды. Половина Нобелевской премии 2019 года по физике была присуждена Майору и Кело за более позднее открытие экзопланеты. И там была «неправильная» планета — горячий юпитер, зато у «правильной» звезды типа Солнца. Я думаю, если бы та премия целиком была вручена за открытие экзопланет и третьим лауреатом оказался Вольщан, лидер в исследовании PSR1257+12, то значительная часть научной общественности восприняла бы такой исход с бóльшим пониманием.
Борис Штерн
Автор благодарен Леониду Гурвицу
за полезные уточнения и добавления.
- Hulse R. A., Taylor J. H. Discovery of a pulsar in a binary system // Astrophysical Journal. 1975. Vol. 195. P. L51–L53.
- УФН. 1994. Вып. 164. С. 765–773.
- Wolszczan A., Frail D. A planetary system around the millisecond pulsar PSR1257 + 12 // Nature. 1992. 355. P. 145–147.
- Malhotra R. Three-body effects in the PSR1257+12 planetary system // Astrophysical Journal. 1993. Vol. 407. P. 266–275.