Состояние старшего сына Грефа еще в 2015 году оценили в миллиард долларов. Тогда ему было 32 года, и у него не было компаний, способных обеспечить такие доходы
Сын главы Сбербанка от первого брака Олег Греф мог быть бенефициаром активов на сумму около 1 миллиарда долларов, следует из документов, обнаруженных «Проектом» в Pandora Papers — крупнейшей утечке офшорных документов, оказавшейся в распоряжении Международного консорциума журналистов-расследователей (ICIJ).

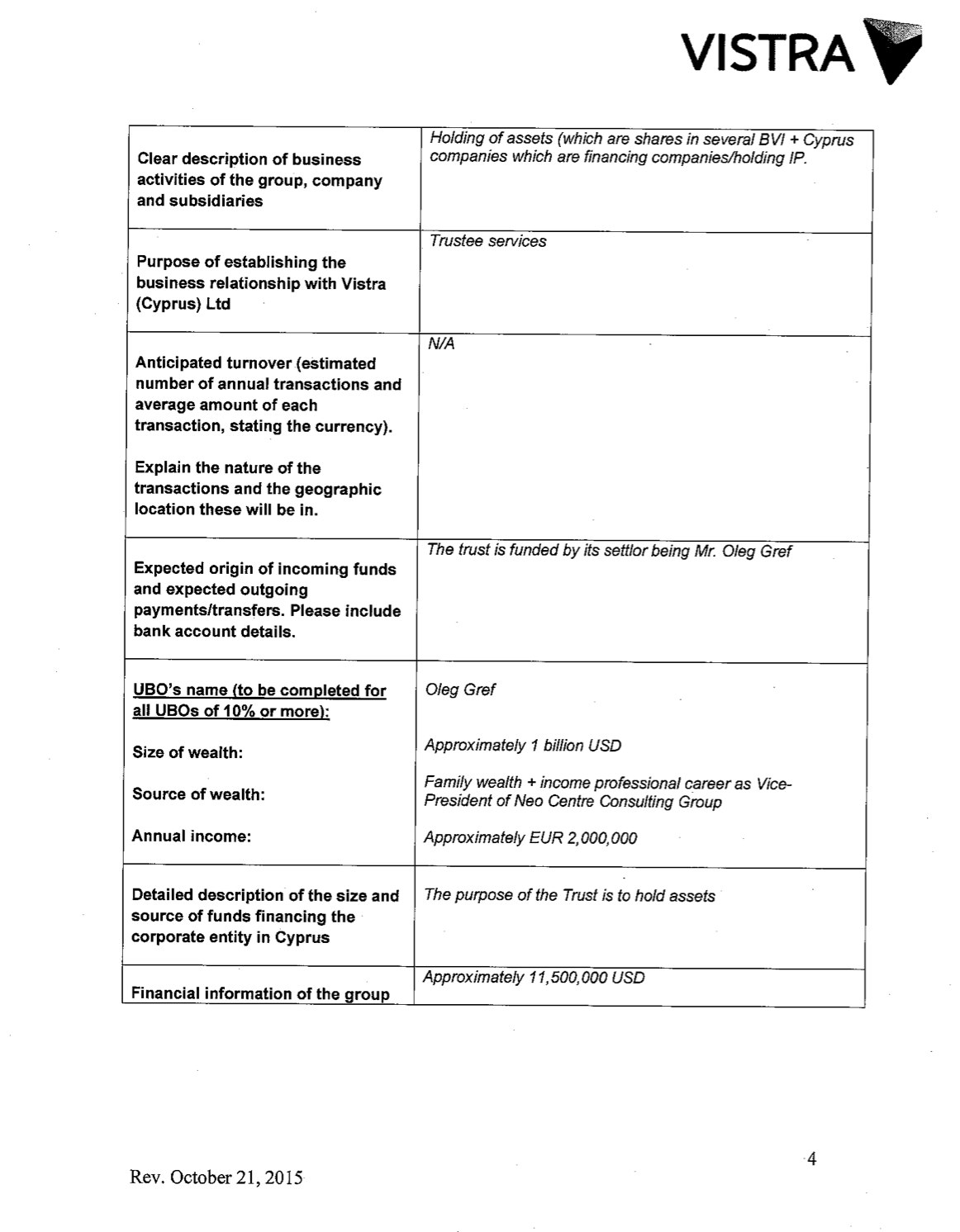
Детали. Олег Греф был бенефициаром и учредителем траста The Blue Hall Trust, головное юрлицо которого зарегистрировано на Виргинских островах. Обслуживавшая эту офшорную сеть компания Vistra в 2015 году составила для внутреннего пользования (вероятно, в целях комплаенс-контроля) экономический профиль сына главы Сбербанка. В нем она указала, что состояние Олега Грефа составляет «около 1 миллиарда долларов», а его ежегодный доход может достигать 2 миллионов евро. На тот момент сыну главы Сбербанка было 32 года.
- Источником этих средств в документе называется «семейное состояние» и «доход от профессиональной деятельности в качестве вице-президента консалтинговой компании “НЭО-Центр”».
- В компании «НЭО-Центр» Олег Греф не только работал, но и был ее совладельцем – ему принадлежало почти 20%. Однако эта фирма едва ли могла обеспечить миллиардное состояние: в 2012 году, согласно «СПАРК-Интерфакс», она получила чистую прибыль в 66 миллионов рублей. В следующем году компания была реорганизована, остался ли Олег Греф совладельцем компании, из данных «СПАРК» не понятно.
- В России на Олега Грефа были оформлены доли еще в восьми малоизвестных компаниях. Из нескольких он вышел сразу после начала полномасштабного вторжения в Украину в феврале этого года. Сейчас сын главы Сбербанка трудится в компании «Гринартдевелопмент». Недавно она приобрела полуразрушенный замок Тевтонского ордена Прейсиш-Эйлау в Калининградской области.
- Также «Проекту» удалось обнаружить элитную квартиру Олега Грефа в элитном московском ЖК «Grand Deluxe на Плющихе» площадью 350 метров. Стоимость такой квартиры составляет примерно полмиллиарда рублей (7,2 миллиона долларов).
Контекст. Оценка состояния в миллиард долларов делает Олега Грефа одним из богатейших россиян. В последнем списке российской версии журнала Forbes было 88 человек, чье состояние оценивалось в миллиард и больше.
Узнать больше: Подробнее о том, как семья и друзья Германа Грефа помогли ему скрыть огромную офшорную империю с активами на сотни миллионов долларов, читайте в новом расследовании «Проекта».
Уточнение: первоначальная версия новости содержала неточность. В ней был неверно указан год документа — 2016-й вместо 2015-го и возраст Олега Грефа на момент оценки его состояния в миллиард долларов.