«Корчеватели» в эпоху больших языковых моделей
Я думаю, читателям ТрВ-Наука памятна история статьи-мистификации «Корчеватель: Алгоритм типичной унификации точек доступа и избыточности»1. В настоящее время появились достаточно сложные программы, основанные на так называемых больших языковых моделях, которые могли бы быть использованы при написании научных статей2, но сам я не особенно разбирался с этой проблемой, пока случай не привел к необходимости на некоторое время погрузиться в изучение данного вопроса. Мне попалась в руки целая книга о квантовых вычислениях, в создании которой, судя по всему, активное участие принимал искусственный интеллект.
Странная книжка
Недавно реферативный математический журнал zbMATH (Zentralblatt MATH) предложил мне написать обзор одной книги. Вот ее выходные данные: K. S. Kaswan, J. S. Dhatterwal, A. Baliyan, S. Rani. Quantum computing. A new era of computing. Piscataway, NJ: IEEE Press; Hoboken, NJ: John Wiley & Sons, 312 p. (2023).
Тема мне была интересна, и я согласился. Книгу пообещали прислать по почте. Между тем я посмотрел доступные отрывки в Интернете, и у меня возникло впечатление, что в электронной версии произошел серьезный сбой.
Во многих формулах верхние индексы были написаны как обычный текст, одна из картинок перевернута, да и другие иллюстрации не особо соответствовали описанию в тексте книги. Предположение о возможном сбое программного обеспечения для верстки текста вскоре пришлось отбросить, так как этим было бы сложно объяснить некоторые достаточно странные модификации. Например, в одном из отрывков на стр. 77 размерность векторного пространства измерялась в морских милях.
На стр. 73 можно было обнаружить забавную фразу о «непитательности» квантовых систем (nonnutritive behavior of quantum systems), что действительно было похоже на опечатку, однако значительную часть текста, включающего эту фразу, удалось обнаружить в Интернете на ресурсе Medium в статье3, посвященной не-интуитивности квантовых систем (non-intuitive behavior of quantum systems).
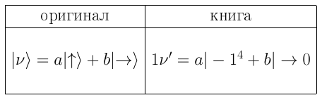
На стр. 74 в книге присутствовала картинка и искаженная версия формулы из этой же статьи (см. рис. 1). Сравнение текста в книге и на ресурсе Medium показывало достаточно специфические различия, которые сложно объяснить программным сбоем.

После этого я связался с zbMATH и привел несколько примеров, демонстрирующих, что часть книги является результатом работы компьютерной программы, добавив, что я не особо понимаю, как возможно написать обзор подобного материала. Вскоре получил ответ, что в zbMATH всё равно хотели бы получить критический обзор книги, полной «глюков и глупых ошибок». Ожидая прихода книги, я всё еще слабо надеялся, что часть проблем могут присутствовать только в вариантах, найденных в Интернете. Увы, пришедшая бумажная версия ничем не отличалась от электронной.
Вопиющие ошибки
У меня нет достаточного опыта в анализе генерируемых машиной текстов, поэтому в обзоре я постарался по возможности объективно изложить свои впечатления. Например, я обнаружил, что раздел 1.4, посвященный истории квантовых вычислений, представляет собой искаженную версию текста из англоязычной «Википедии»4. При этом около трехсот ссылок, имеющихся на соответствующей странице «Википедии», пропали, а вместо них были вставлены четыре ссылки на публикации, не особо согласующиеся с текстом.
Сравнивая текст из хронологии в «Википедии» и соответствующий раздел книги, можно было увидеть достаточно необычные модификации. Например, на стр. 14 среди достижений 2014 года без каких-либо ссылок на источники информации было упомянуто, что неким ученым удалось переслать данные на расстояние десяти футов, используя осцилляцию нейтрино. После сравнения с «Википедией» оказалось, что это предложение было немного перефразированной версией описания эксперимента по квантовой телепортации, в которой quantum teleportation было почему-то заменено на neutrino oscillation. Посмотрев статью, указанную по ссылке, можно было обнаружить, что нейтрино там даже не упоминались. Эксперимент был проведен с использованием лазеров. На той же странице книги среди достижений 2016 года в описании эксперимента по разложению числа на множители с помощью алгоритма Шора Исаак Чанг был заменен на Айзека Азимова.
Можно приводить и другие необычные примеры, но, наверное, этих двух уже достаточно. Помимо всего прочего, некоторые блоки исторических новостей еще и были повторены в книге дважды с небольшими вариациями.
В случае с историей квантовых вычислений по крайней мере была возможность свериться с источником информации и примерно понять, какие метаморфозы происходили с текстом. В других случаях об этом можно только догадываться. Скажем, в уже упомянутом конфузе с морскими милями можно было обнаружить некое искаженное описание формулы, в которой размерность векторного пространства выражалась через произведение двух чисел, n и m. В одной части предложения это произведение nm сохранилось, а в другой почему-то было интерпретировано как сокращение и преобразовано в nautical miles.
Я уже упомянул о проблеме с корректностью ссылок. Например, во второй главе на стр. 35 обнаружилось достаточно провокационное утверждение, перевод которого звучит примерно так: «Как ни странно, в первые годы квантовой запутанности [11] предполагалось, что NP является частью BQP».
Квантовая запутанность — свойство физических систем, так что если попытаться интерпретировать всё это серьезно, то «первые годы» тут просто не к месту. В качестве не особо приемлемого сарказма это еще могло иметь некий смысл, так как какая-то путаница с классами сложности квантовых алгоритмов, возможно, на первых порах и была. Так что посмотреть указанную ссылку было вполне естественно.
Однако, заглянув в ссылку 11 к соответствующей главе, я обнаружил публикацию5, которая описывала методы контроля квантовых систем, но при этом явно не относилась к «первым годам квантовой запутанности» и не обсуждала вопросы соотношения классов сложности NP и BQP.
Ссылка на черную дыру и другие сбои
Заметив множество несоответствий и в других ссылках, я даже предположил вначале, что это может происходить из-за какого-то сбоя нумерации. Однако после безуспешных попыток найти правильные ссылки стало понятно, что проблема гораздо глубже, так как некоторые ссылки абсолютно не соответствовали тематике книги.
Например, в самом начале третьей главы в качестве ссылки на принципы математических операций, на которых построены современные компьютеры, была использована статья, посвященная износу быстро вращающихся колес и других механических деталей. Чуть далее для нахождения количества битов, необходимых для записи чисел в двоичной системе счисления, почему-то потребовалось сослаться на статью, описывающую излучение, исходящее от аккреционных дисков черной дыры.
Просмотрев все 12 глав книги, я обнаружил некоторое количество согласованных ссылок только в шестой главе. Однако эта глава была посвящена достаточно дискуссионной теме «квантового познания», так что вопросов она вызывала ничуть не меньше любой другой. Судя по обилию искаженных формул, она тоже либо прошла какой-то набор непонятных модификаций, либо была создана компьютерной программой.
Проблемы с формулами присутствуют и в других книгах, однако тут поражало их количество. Среди формул внутри текста даже было трудно найти корректные примеры. И хотя среди формул, вынесенных в отдельную строку, ошибок было меньше, однако пример формулы из отрывка про «непитательные квантовые системы», уже приведенной выше, показывает, что и они могли быть изменены настолько, что оригинал уже было практически невозможно установить.
Да и проблема с верхними индексами, написанными обычным текстом, тоже доставляет определенные неудобства. Например, прочитав на стр. 46 (после ссылки на «черную дыру»), что 22 компоненты — это просто 4, еще можно как-то догадаться, что 22 — это два в квадрате, а обнаружив на стр. 36 «планковский масштаб», равный 1,61035 метрам, сообразить, что 1,61035 — это на самом деле 1,6, умноженное на 10 в минус 35 степени.
Однако всё уже не так понятно, когда в процессе объяснений, приводимых на стр. 76–77, описываются принципы образования составных систем в классическом и квантовом случае и сказано, что в классике будет получено векторное пространство с размерностью 2n, а у квантовой системы эта размерность будет… тоже 2n, так как два в степени n опять не смогло отобразиться подобающим образом.
Хотя после появления на стр. 77 морских миль такие мелочи, наверное, уже не должны никого особо интересовать. Я привел в том обзоре еще несколько примеров, однако не хочется и далее утомлять читателей подобным абсурдом. Тем более, что провисев на сайте zbMATH пару дней, обзор куда-то исчез, будучи заменен на обзор, предоставленный издательством, на тему, какая это замечательная книга и как она будет полезна студентам различных специальностей, а также исследователям и другим представителям научного сообщества.
Александр Власов, науч. сотр. ФБУН НИИРГ им. П.В. Рамзаева
1 trv-science.ru/tag/korchevatel
2 Fecher B., Hebing M., Laufer M. et al. Friend or foe? Exploring the implications of large language models on the science system. AI & Soc (2023). doi.org/10.1007/s00146-023-01791-1
3 medium.com/@vohramurtaza1999/quantum-computing-part2-analysis-of-quantum-systems-d3e06478fa69
4 en.wikipedia.org/wiki/Timeline_of_quantum_computing_and_communication
5 Niu M.Y., Boixo S., Smelyanskiy V.N. et al. Universal quantum control through deep reinforcement learning. npj Quantum Inf 5, 33 (2019). doi.org/10.1038/s41534-019-0141-3